Le nombre 𝝅 (Pi) qui unit la droite et le cercle
La mesure du rapport qui existe entre la circonférence du cercle et son rayon, le nombre Pi, a pour symbole mathématique la lettre grecque 𝝅.
L’usage de cette lettre grecque 𝝅, première lettre de περιφέρεια « périphérie, circonférence », n’est apparu qu’au XVIII e siècle, en 1706 à l’initiative du mathématicien William Jones dans son ouvrage Synopsis Palmarorium Matheseos [ p. 262 et 284/329] et ensuite adopté et popularisé par Euler en 1748.


Ce nombre n’est pas considéré comme normal car il est :
– un nombre IRRATIONNEL avec le nombre de ses décimales infini sans aucun rythme, apparemment sans logique particulière, tout comme dans le nombre d’or (Φ). Ces deux nombres sont des constantes qui permettent l’émergence de relations particulières entre certains éléments.
– un nombre TRANSCENDANT parce qu’il ne peut être représenté par une équation polynomiale.
Pourtant ce n’est pas faute de recherche à la découverte d’une équation qui rendrait compte de sa valeur qui reste une approximation. Rappelons-nous les 22/7ème de nos classes primaires (proposé par Archimède dans sa proposition III de son Traité de la mesure du cercle où 𝝅 est compris entre 3 + 1/7 et 3 + 10/71 : « Donc, la circonférence d’un cercle est égale au triple de son diamètre augmenté d’une portion de son diamètre qui est plus petite que le septième de ce diamètre et plus grande que les 10/71e de ce même diamètre.)
On appréciera aussi cette formule : 𝝅 = (√ (2√2 -1) + (√2 -1))2
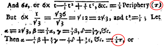
Pour le fun et la beauté d’autres équations, apprécions aussi John Machin qui publie en 1706 une formule donnant Pi à l’aide de la fonction arc tangente :

Une amélioration de cette formule par Jurij Vega permit, en 1789, de calculer 𝝅 avec une précision de 126 décimales. D’autres formules permettant d’exprimer 𝝅 ont été exhibées au XVIIIe siècle, notamment la résolution par Euler du problème de Bâle qui donne une identité, peu utile pour un calcul pratique, reliant 𝝅 et la série des inverses des carrés des entiers :

Un autre exemple d’identité, lui aussi peu utile pour un calcul pratique, permettant le calcul numérique de 𝝅 est fourni par la formule de Leibniz, découverte en Europe au XVIIe siècle, mais qui était déjà connue de manière indépendante en Inde depuis deux siècles par l’école du Kerala :

Ma formule préférée, qui ne donne pourtant que 9 décimales de Pi, est celle de François Viete datant du XVIe siècle. Elle est esthétiquement magnifique, ne faisant intervenir que le chiffre 2 et montrant l’incommensurabilité de Pi.

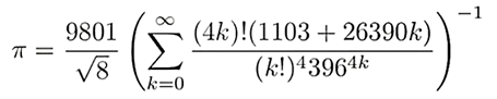
Les premiers algorithmes utilisant des formules proches de la formule de Machin sont ainsi abandonnés au profit d’autres formules plus efficaces, comme celle obtenue par Ramanujuan en 1914 :

Le record battu par Alexander J. Yee & Shigeru Kondo, le 2 aout 2010, a permis de calculer pas moins de 5000 milliards de décimales. À ce jour, selon Hipschman, nous avons découvert 13,3 billions de décimales de pi.
De fait, Pi est un nombre irrationnel car, malgré les recherches les plus avancées, on ne retrouve aucune séquence périodique sur l’infinité de ses décimales.
Mais surtout, c’est un nombre transcendant, Alors pourquoi chercher une équation pour le définir ?
Heureusement qu’il n’est pas utile de connaître toutes les décimales du nombre Pi.
Et pourtant, si on multiplie entre elles les 6 premières décimales du nombre Pi (1 x 4 x 1 x 5 x 9 x 2) on trouve 360. C’est le nombre de degrés associés au cercle, c’est-à-dire l’angle total accompli par une révolution circulaire de 360°.
Si on additionne ces mêmes décimales (1 + 4 + 1 + 5 + 9 +2) on trouve 22. La tradition de Connaissance, la Kabbale précise que les 22 lettres de l’alphabet hébraïque sont la transposition humaine la plus parfaite du Verbe utilisé par le Créateur pour réaliser son Œuvre. On peut ainsi dire que les 6 premières décimales de Pi forment une « matrice » de Création.
Pi une force constante qui maintient tous les points du cercle à égale distance de son centre
Alors, écoutons ce texte du Zohar : « Sache qu’avant que ne soient émanés les émanés et que les créatures ne soient créées, une lumière supérieure simple remplissait toute la réalité. Il n’y avait aucune place libre, sous l’aspect d’un air vide et d’un creux, mais tout était rempli de cette lumière infinie simple; elle n’avait ni début ni fin ; tout était lumière, une, simple, homogène d’une homogénéité une, et c’est ce que l’on appelle la Lumière de l’Infini (Or Ein Sof). Lorsque monta à sa volonté simple de créer les mondes et d’émaner les émanés pour manifester la perfection de ses actions, de ses noms et de ses attributs, ce qui était la cause de la création des mondes, alors, il se contracta lui-même, l’Infini, en son point central, vraiment au milieu; et il contracta cette lumière, qui s’éloigna sur les côtés, autour du point central. Il resta alors : une place vide, de l’air, un creux vide, de ce point central vraiment ». Cette contraction, c’est le tsimtsoum de l’Ein Sof, avancé par le rabbi Isaac Louria au XVIe siècle ; ce serait pour lui le processus primordial qui est à l’origine des mondes.

Mais, pour que la création puisse s’expanser, que l’infini ne la submerge pas dans un mouvement inverse, une délimitation en même temps fut installée. Depuis, une force maintient séparée la dualité en l’unité. Cette énergie ne serait-elle pas cette énergie noire, proposée actuellement par le commissariat à l’énergie atomique dans leurs dernières recherches astrophysiques, et qui, comme l’écrit Michel Cassé, fait naître «un état de grâce, d’élévation, où l’envol l’emporte sur la chute, une antigravitation » ?
La doctrine hermétiste propose en son premier principe d’enseignement ce qu’est l’unité. On en trouve la preuve et l’énoncé dans la Table d’Émeraude. « Toutes les choses sont et proviennent d’Un, par la médiation d’Un. Toutes les choses sont nées de cette chose unique, son symbole est le cercle un qui s’achève en soi-même ». Le serpent qui se mord la queue l’ouroboros, exprime l’univers à «Un le Tout».

Cela pourrait être représenté par le point d’un cercle, R en serait le rayon qui en hébreu se dit kav et vaut en guématrie 1O2 (qoph 100 et beth 2). Pi est alors une énergie, un rapport de forces, maintenant séparées les deux parties de l’unité. Il n’est pas lui-même la séparation, mais la force par laquelle il y a séparation ; c’est la dualité issue de la séparation de l’unité en elle-même. Séparation entre vide et plein, fini et infini,… Dualité séparée, mais toujours en une même unité que l’on peut exprimer par le périmètre d’un cercle de rayon 1 et qui se lit 1 Pi 2 à rapprocher du mot kav (1O2).
Lors de la Création du monde, Dieu a en quelque sorte restreint sa Lumière, c’est le Tsimtsoum, et, dans le vide formé par ce retrait, il laissa un Rechimou, une « empreinte », une rémanence, ce Rechimou est la trace de Lumière restante. Dans un second temps, Dieu envoie dans ce réceptacle (Rechimou) un fil de lumière, un kav, une droite rectiligne, qui, dans son développement, va constituer dix cercles.
Les 10 Séphiroth sont à la fois ces 10 réceptacles-cercles et la lumière émanée par le tsimtsoum ; elles sont la limite de la lumière divine mais en même temps la révèlent. Chaque monde a sa capacité propre de réception et de dévoilement de cette lumière. Cela est un plérome, une représentation imaginale de la manifestation et on l’appelle l’Arbre de vie. Le plérome, cette recombinaison fractale de l’Unité, est un inter-monde entre le Un et le monde matériel.
Le monde serait alors tenu par l’énergie du nombre Pi, qui lie le rayon émané et les cercles, à la fois lumières et matières.
En kabbale, shaddaï, un des 72 noms de Dieu, a pour valeur numérique 314 qui évoque le chiffre 3,14 ; la valeur du nombre Pi qui montre, qu’à présent, l’espace existe.
Pi c’est aussi la valeur du rapport 22/7 pour rappeler que l’œuvre de la création, le Maasséh Béréchit, a été une symphonie divinement composée à partir des 22 lettres sacrées, en un cycle accompli de 7 jours représentés par les sept mots du premier verset biblique : Béréchit Bara E.lohim Eth HaShamayim VéEth HaAréts ; au commencement D.ieu créa les cieux et la terre.
À remarquer que (𝝅 x Φ)2 s’approche de la valeur 26 qui représente, en guématrie, le tétragramme divin יהוה.
L’expression de changement de plan de la matière vers l’esprit, vers l’énergie, se fait par une élévation au carré.
La valeur du Nom shaddaï est 314, elle correspond à la valeur additionnée des premières lettres des noms de chacun des 5 livres de la Torah : le Beith ב (2) de Béréchit, la Genèse + le Shin ש (300) de Shémoth, l’Exode + le Vav ו (6) de Vayikra, le Lévitique + le Beith ב (2) de Bamidbar, les Nombres ; et enfin le Dalèt ד (+ 4) de Dévarim, le Deutéronome ; au total 314
La valeur de Pi tend vers 3,1415926… Or c’est à partir d’une faute d’orthographe volontaire, que la Torah dévoile sa propre valeur du nombre Pi.
Elle se trouve dans un des versets du Livre des Rois I, où il est dit à propos de la construction du Temple du roi Salomon : « Puis il jeta en fonte la Mer. Parfaitement circulaire, elle avait dix coudées d’un bord à l’autre (diamètre = 10), et cinq coudées de hauteur ; et une ligne (Qav) de trente coudées en mesurait le tour (circonférence = 30) ».
La circonférence d’un cercle étant égale à Pi fois le diamètre, une circonférence de 30 avec un diamètre de 10, donnerait à Pi une valeur de 3.
On serait alors tenté de penser que la Torah se trompe, mais le Texte écrit le mot Qav (Qof-Vav קו), avec une faute (volontaire), en rajoutant à la fin de celui-ci, la lettre Hé ; ce qui donne Qavh (קוה), (Qof-Vav-Hé). À partir de là, la valeur numérique du mot Qav (Qof-Vav), égale à 106 (100+6), devient avec la faute Qof-Vav-Hé (קוה) soit 111 (100+6+5).
En divisant 111 par 106, on obtient 1.0471698 qui, multiplié par 3 (la valeur de Pi dans le Texte), indique le véritable «Pi Biblique» égal à 3,14150943…
La valeur du «Pi Biblique» inférieure de 0,00026% par rapport à la valeur actuelle du nombre Pi, dévoile et quantifie la véritable Essence de l’espace de la création débarrassée de son écorce de matérialité. Cette Essence, qui est celle du Nom «YHVH» (valeur 26), rappelle (par cette fraction d’erreur symbolique de 0,00026% du nombre Pi) que la Torah n’est pas un manuel de science, mais reste un Enseignement de vie (réflexion guématrique empruntée à Éric Danièle El-Baze depuis son livre L’Œuvre de la création, édilivre).
Pi est considéré comme un nombre univers (partir de 3’51 sur la vidéo précédente)

Prenez le temps de visionner ces deux vidéos et vous saurez tout sur le nombre Pi sans jamais avoir osé le demander 😊😉.
Le nombre Pi en couleurs
Reprenons l’association des 10 chiffres et de couleurs utilisée pour représenter une image du nombre Phi, dans l’article précédent Le nombre d’or, un nombre de lumière

Nous obtenons pour les 99 premières décimales de PI : 3,141592653589793238462643383279502884197169399375105820974944592307816406286208998628034825342117067…

L’artiste roumain Cristian Vasile est l’auteur d’une très belle image dans laquelle sont représentés les 10.000 premiers chiffres de Pi en partant d’un cercle divisé en 10 segments et en traçant les lignes successives qui unissent les chiffres de l’un au suivant :

Valeur approchée de PI
355/113ème est 5000 fois plus précis que 22/7ème
3,14159265358979323846264338327950288419716939937510582097494459230781640628620899862803482534211706798214808651328230664709384460955058223172535940812848111745028410270193852110555964462294895493038196442881097566593344612847564823378678316527120190914564856692346034861045432664821339360726024914127372458700660631558817488152092096282925409171536436789259036001133053054882046652138414695194151160943305727036575959195309218611738193261179310511854807446237996274956735188575272489122793818301194912983367336244065664308602139494639522473719070217986094370277053921717629317675238467481846766940513200056812714526356082778577134275778960917363717872146844090122495343014654958537105079227968925892354201995611212902196086403441815981362977477130996051870721134999999837297804995105973173281609631859502445945534690830264252230825334468503526193118817101000313783875288658753320838142061717766914730359825349042875546873115956286388235378759375195778185778053217122680661300192787661119590921642019893809525720106548586327886593615338182796823030195203530185296899577362259941389124972177528347913151557485724245415069595082953311686172785588907509838175463746493931925506040092770167113900984882401285836160356370766010471018194295559619894676783744944825537977472684710404753464620804668425906949129331367702898915210475216205696602405803815019351125338243003558764024749647326391419927260426992279678235478163600934172164121992458631503028618297455570674983850549458858692699569092721079750930295532116534498720275596023648066549911988183479775356636980742654252786255181841757467289097777279380008164706001614524919217321721477235014144197356854816136115735255213347574184946843852332390739414333454776241686251898356948556209921922218427255025425688767179049460165346680498862723279178608578438382796797668145410095388378636095068006422512520511739298489608412848862694560424196528502221066118630674427862203919494504712371378696095636437191728746776465757396241389086583264599581339047802759009946576407895126946839835259570982582262052248940772671947826848260147699090264013639443745530506820349625245174939965143142980919065925093722169646151570985838741059788595977297549893016175392846813826868386894277415599185592524595395943104997252468084598727364469584865383673622262609912460805124388439045124413654976278079771569143599770012961608944169486855584840635342207222582848864815845602850601684273945226746767889525213852254995466672782398645659611635488623057745649803559363456817432411251507606947945109659609402522887971089314566913686722874894056010150330861792868092087476091782493858900971490967598526136554978189312978482168299894872265880485756401427047755513237964145152374623436454285844479526586782105114135473573952311342716610213596953623144295248493718711014576540359027993440374200731057853906219838744780847848968332144571386875194350643021845319104848100537061468067491927819119793995206141966342875444064…
Et pour retenir les 120 premières décimales du nombre Pi, quoi de mieux que de commencer par apprendre le quatrain , mentionné en 1841, dans Le livre des singularités de Gabriel Peignot (p.137), repris par Alphonse Rebière dans son livre Mathématiques et mathématiciens publié en 1898 (avec pour le chiffre 0, un mot de 10 lettres) et de continuer avec le piem (poème sur Pi) attribué à Maurice Decerf (un pseudonyme), une pé-𝝅-te.
Vous pouvez également inventer votre piem avec des techniques mnémotechniques
Pi ≈ 3,14159 26535 89793 23846 26433 83279 50288 41971 69399 37510 58209 74944 59230 78164 06286 20899 86280 34825 34211 70679 82148 08651 32823 06647 09384 4
Que j’aime à faire apprendre ce nombre utile aux sages ! 3,1415926535
Immortel Archimède, artiste ingénieur, 8979
Qui de ton jugement peut priser la valeur ? 32384626
Pour moi, ton problème eut de pareils avantages. 43383279
Jadis, mystérieux, un problème bloquait 50288
Tout l’admirable procédé, l’œuvre grandiose 4197169
Que Pythagore découvrit aux anciens Grecs. 399375
O quadrature ! Vieux tourment du philosophe ! 105820
Insoluble rondeur, trop longtemps vous avez 974944
Défié Pythagore et ses imitateurs. 59230
Comment intégrer l’espace plan circulaire ? 781640
Former un triangle auquel il équivaudra ? 628620
Nouvelle invention : Archimède inscrira 8998
Dedans un hexagone; appréciera son aire 628034
Fonction du rayon. Pas trop ne s’y tiendra : 825342117
Dédoublera chaque élément antérieur ; 0679
Toujours de l’orbe calculée approchera ; 821480
Définira limite; enfin, l’arc, le limiteur 8651328
De cet inquiétant cercle, ennemi trop rebelle ! 2306647
Professeur, enseignez son problème avec zèle ! 093844
En 2005, un japonais de 59 ans, Akira Haraguchi, a réussi à aligner par cœur 83 431 décimales de pi en 13 heures. Il réitéra son record un an plus tard (2006) en mémorisant et récitant publiquement 100 000 décimales pendant 16 heures. Cet exploit a été homologué par le Livre Guinness des records !

Dieu n’existe pas ! la preuve est mathématique : quel mauvais architecte (les gnostiques l’appelaient démiurge) pas foutu de créer un monde où le rapport de la circonférence au diamètre ne tombe pas juste !!!
Mais e puissance pi.i = -1 !
Un nombre incommensurable (e) élevé à une puissance incommensurable (pi) sur le mode imaginaire (i) retombe pile sur l’unité !
Je retire ce que j’ai dit…